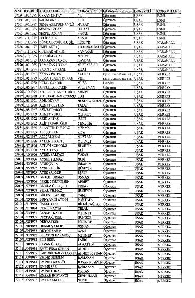
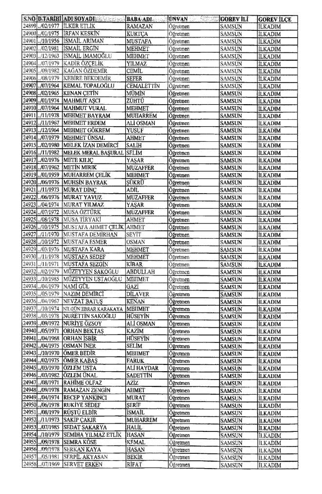
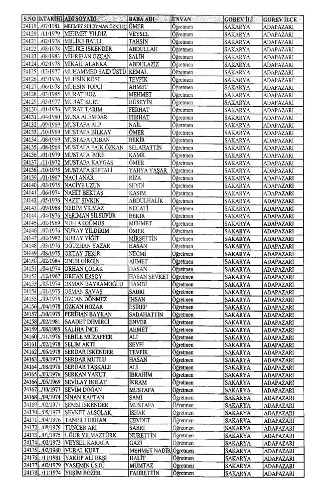
MEB'den İhraç Edilenlerin İsim İsim Tam Listesi -3
MEB'den ihraç edilenlerin isim isim tam listesi
2 Eylül 2016
Veri politikasındaki amaçlarla sınırlı ve mevzuata uygun şekilde çerez konumlandırmaktayız. Sitemizi kullanmaya devam ederek çerezleri kullanmamıza izin vermiş oluyorsunuz. Detaylar için veri veya çerez politikamızı inceleyebilirsiniz.