Pendik'te Okul Müdürüne İkinci Şok!

Kaynak : Memurlar.Net
Haber Giriş : 06 Ekim 2008 00:15, Son Güncelleme : 27 Mart 2018 00:42

Pendik Zübeyde Hanım İlköğretim Okulu Müdürü emrinde çalışan öğretmenlerin siciline kasten düşük not vermekten dolayı açılan ikinci davayı da kaybetti.

Okulda mutemetlik adı altında idareciler tarafından öğretmenlerden ekstra ücret kesilmesine itiraz eden Okulun Fen Bilgisi Öğretmeni ve Eğitim-Bir-Sen Şube Yönetim Kurulu Üyesi Aydın Kaya; başına gelebilecekleri önceden tahmin etti. Mutemetlik kesintisine itirazından dolayı okul müdürü tarafından ilginç tepkiler alan ve yıpratılmaya çalışılan Öğretmen Aydın Kaya, Pendik Zübeyde Hanım İlköğretim Okulu Müdürü Beşir Saka'nın adil davranmayacağından şüphelenerek ?Bilgi Edinme Yasası? gereği Pendik İlçe Milli Eğitim Müdürlüğünden sicil notlarını öğrenmek için dilekçe verdi.

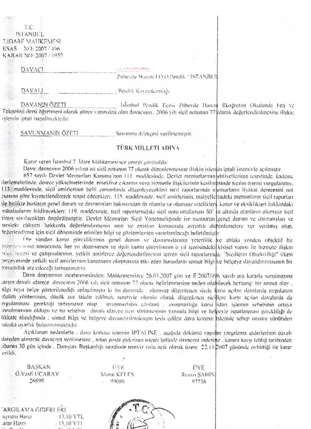
İlçe Milli Eğitim Müdürlüğünden gelen cevabi yazıda önceki yıllara ait sicil notlarının yüksek olmasına rağmen 2006 sicilinin kasıtlı şekilde aşağı çekildiğini ve 77 verildiğini gördü. İstanbul 7. İdare Mahkemesi'ne konu ile ilgili dava açan Aydın Kaya'nın itirazına 7. İdare Mahkemesi 2007/1953 sayılı kararla; ?somut bilgi ve belgeye dayandırılmaksızın tesis edilen dava konusu işlemde sebep unsuru yönünden hukuka uyarlılık bulunmamaktadır.? hükmü vererek düşük sicil notunu iptal etti.

"2006 yılı sicili 77 olarak düzenlenen öğretmen açtığı davayı kazandı" başlıklı haber metni için tıklayınız.

Karar metni için tıklayınız?

3 Öğretmen, Müdür Aleyhine Dava Açtı.

Okul Müdürü Beşir Saka'ya itiraz eden Aydın Kaya'nın başına gelenler diğer öğretmenleri harekete geçirdi. Okulda 1. Sınıfları okutan Öğretmen İsmail Dağ; okul müdürünün anasınıfından gelen öğrencileri bir sınıfta toplayarak özel sınıf oluşturmasına ve sınıf dağılımlarını adil yapmamasına itiraz etti. Okulda açılan kurslardan elde edilen gelirden gelir vergisini ödemeyen ve iç eden okul idaresine açılan soruşturmada müdür aleyhine ifade veren Öğretmen İsmail Dağ'da diğer öğretmenler gibi ?Bilgi Edinme Yasası? gereği sicil notlarını istedi. Sonuç aynıydı.

2005'te Öğretmen İsmail Dağ'a 100 üzerinden 100 takdir eden Okul Müdürü Beşir Saka; 2006'da 1. Sicil Amiri olarak sicil notunu 78 verdi. 2. Sicil Amiri olan Pendik İlçe Milli Eğitim Müdürü'nün 84 vermesi ile ortalama 81 olan 2006 siciline itiraz eden Öğretmen İsmail Dağ; İstanbul Bölge İdare Mahkemesine dava açtı. Dava devam ediyor.

İşte ikinci Şok!

Okul koridorlarına kamera taktırılmasına öğretmenler kurulunda karşı görüş beyan eden Öğretmen Yakup Şahin'de ?Bilgi Edinme Yasası? gereği sicil notlarını istedi. Durum farksızdı. Yakup Şahin de 2006 sicil notunun 78'e indirildiği gördü. 2002'de 91, 2003'te 91 olan sicil notu nasıl olurda 78'e düşer diyen Öğretmen Yakup Şahin; Müdür Beşir Saka hakkında İstanbul 8.Nolu İdare Mahkemesine dava açtı. İdare Mahkemesi 2008/ 585 sayılı karar ile öğretmen Yakup Şahin'i haklı buldu. İstanbul 8.Nolu İdare Mahkemesi tarafından; ? Olayda dava konusu sicil raporunun düşük not ile değerlendirilmesini haklı kılacak her hangi bir somut olay bilgi veya belge gösterilmediği görülmekte objektif esaslara göre düzenlenmediği sonucuna ulaşıldığından tesis edilen işlemde hukuka uyarlılık görülmemiştir? denilerek kasıtlı verilen düşük sicil notu iptal edildi.

İşte Yeni mahkeme Kararı

İstanbul 8.Nolu İdare Mahkemesinin 2008/ 585 sayılı karar metni?

Eğitim-Bir-Sen, Ata Özer'i Göreve Davet etti.

Konu üzerine açıklama yapan Eğitim-Bir-Sen İstanbul 4 Nolu Şube Başkanı Ali Yalçın; İl Milli Eğitim Müdürlüğü'nü göreve davet etti. Başkan Ali Yalçın; Okul Müdürü tarafsızlığını yitirmiştir. Haksız uygulamalarına itiraz eden herkesi sindirmeye çalışmaktadır. Okulda mutemetlik ücreti toplanıyor. Personel Genel Müdürlüğü'nün Genelge'leri iplenmiyor diye İl Milli Eğitim Müdürlüğü'ne şikâyet ettik. Belgeli bulgulu işlerin üstü kapatıldı. Okulda açılan kurslardan ödenmesi gereken Gelir Vergisi'nin ödenmediği ve cebe indirildiğini şikâyet eden öğretmenler adeta cezalandırıldı.

Şikâyetten sonra panikleyen okul müdürüne akıl verildi ve sağdan soldan borç toplatılarak söz konusu para yatırıldı. Gelen incelemeciler şikâyetten sonra yatan parayı niçin önceden yatırmadın, bu para şimdiye kadar neredeydi demek yerine örtbas edip gittiler. Öğretmenler adeta cezalandırıldı ve adalet duyguları örselendi. Söz konusu müdür suç teşkil eden uygulamalarından dolayı 2007'de uyarma, kınama ve iki defa maaş kesim cezası almıştır. Üstüne iki tanede mahkeme kararı cabası diyen Şube Başkanı Ali Yalçın; burada ne oluyor diyen yok. Pes doğrusu dedi.

Müdürün Yeni uygulaması da devleti zarara uğrattı.

Şube Başkanı Ali Yalçın; müdürün yeni uygulaması da evlere şenlik dedi. Kitap seçiminde tüm sınıflar için Bilişim Teknolojileri dersini okutmak üzere 1.,2.,3.sınıflara Bilişim Teknolojileri Kitabı istendi. Kitaplar devlet tarafından gönderildi. Öğrencilere okulların açıldığı ilk gün kitaplar teslim edildi. Öğretmenlere de 24 tane Öğretmen Kılavuz kitapları teslim edildi. Ancak bu kitaplar öğrencilerde süs eşyası olarak kaldı. Çünkü okulda Spor Etkinlikleri seçmeli ders olarak dikte edildi. Okulda 2 tane BT sınıfı olmasına rağmen Bilişim Teknolojileri Dersi yerine Spor Etkinlikleri okutuluyor. Bilişim Teknolojileri Kitapları gibi BT Sınıfları da atıl durumda. Toplamda 750?800 tane kitap çocukların elinde atıl kaldı. Geriye de toplanıp iade falan da edilmedi.

Başkan Ali Yalçın; kamu zararı söz konusu fakat bu kez şikâyetçi falan değiliz. ?2007'de uyarma, kınama ve iki defa maaş kesim cezası alıp; üstüne üslük iki tanede mahkeme kararı ile suçlu bulunan kişi hala yerinde duruyorsa nefes tüketmenin ne gereği var.? dedi.

Bu Habere Tepkiniz

Sonraki Haber