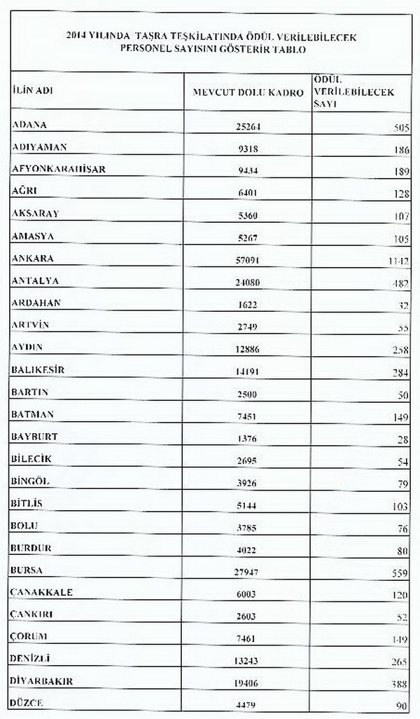
<img src="/common/news/documents/450876/13012014-0172624_sayfa_1.jpg" /> <img src="/common/news/documents/450876/13012014-0172624_sayfa_2.jpg" /> <img src="/common/news/documents/450876/13012014-0172624_sayfa_3.jpg" /> <img src="/common/news/documents/450876/13012014-0172624_sayfa_4.jpg" />