Kastamonu Üniversitesinde GYS Mağduriyeti!

Kastamonu Üniversitesi, görevde yükselme ve unvan değişikliği sınavında yazılı sınavda yüksek not alan adayları sözlü sınavda mağdur etti!

Kaynak : Memurlar.Net
Haber Giriş : 04 Mart 2026 20:42, Son Güncelleme : 04 Mart 2026 20:50
Kastamonu Üniversitesinde GYS Mağduriyeti!

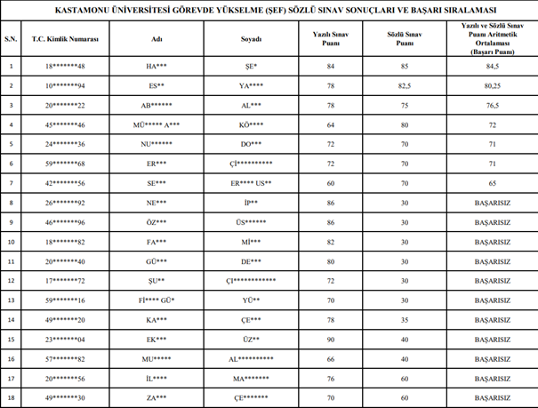
Kastamonu Üniversitesi tarafından gerçekleştirilen Şef ve Şube Müdürü görevde yükselme sınavının sözlü aşamasında yazılı sınavda yüksek not alan adaylara sözlü sınavda çok düşük puan verilmesi eleştiri konusu oldu.

Şube Müdürlüğü yazılı sınavında 98 alan adayın 30 puan alması, Şef alanında yazılı sınavda 90 puan alan adayın 40 puan alması sözlü sınavın objektif bir şekilde yapılıp yapılmadığı konusunda ciddi soru işaretleri ortaya çıkarmıştır.

Yazılı sınavda yalnızca bir yanlış yapan adayın, daha sübjektif nitelik taşıyan sözlü aşamada bu denli düşük bir puanla başarısız sayılması, ölçme ve değerlendirme kriterlerinin şeffaflığı konusunda ciddi kuşkular doğurmaktadır.

Özellikle yıllardır kuruma hizmet eden, emeği ve bilgi birikimiyle yazılı sınavda yüksek başarı gösteren personelin sözlü sınavda düşük puanlarla saf dışı bırakılması, sadece bireysel mağduriyet üretmekle kalmamakta; aynı zamanda kurumsal aidiyet duygusunu da zedelemektedir.

Emeğin karşılığının alınmadığı algısı, kamu yönetimine olan güveni aşındıran en önemli unsurlardan biridir.

Sözlü sınavların doğası gereği sübjektif değerlendirmelere açık olduğu bilinen bir gerçektir. Bu nedenle, kamu idarelerinin sözlü sınavı adayları zorlayarak eleme aracı haline getirmek yerine; yazılı sınavda başarılı olmuş personelin yöneticilik kabiliyeti, temsil yeteneği ve iletişim becerilerini makul ve ölçülebilir kriterlerle değerlendirecek bir çerçeve oluşturması beklenir. Aksi halde yazılı sınavda gösterilen üstün başarının tek bir sözlü komisyon değerlendirmesiyle etkisiz hale getirilmesi, liyakat ilkesini tartışmalı hale getirmektedir.

Bu Habere Tepkiniz

Sonraki Haber